地址:新都镇兴乐北路1288号派都广场A座4楼17号
电话:028-82005799/19938477370
地址:宜宾市翠屏区东街与民主路路口名城商城4楼
电话:028-82005799
地址:雅安市雨城区大地影院2楼
电话:028-82005799/18141378923
地址:乐山市中区老公园总工会5楼(老年大学旁)
电话:028-82005799/18188343237
地址:绵阳市涪城区西南科技大学新区青阳中街14号
电话:028-82005799/17740904611/18111651643
地址:南充市师大路一段210号华府丽都
电话:028-82005799/17719811995
发布日期:2021-07-31 22:31:51 来源:四川中公考研
考研中最常考的知识点有:前中得后,中后得前。
【注意】前序和中序是无法得到唯一的中序的。
1.由二叉树的先序序列和中序序列可以唯一地确定一棵二叉树。
在先序遍历序列中,第一个结点一定是二叉树的根结点,而在中序遍历中,根结点必然将中序序列分割成两个子序列,前一个子序列就是根结点的左子树的中序序列,后一个子序列是根结点的右子树的中序序列。根据这两个子序列,在先序序列中找到对应的左子序列和右子序列。在先序序列中,左子序列的第一个结点是左子树的根结点,右子序列的第一个结点是右子树的根结点。如此递归地进行下去,便能唯一地确定这棵二叉树。
2.由二叉树的后序序列和中序序列也可以唯一地确定一棵二叉树。
后序序列的最后一个结点就如同先序序列的第一个结点,可以将中序序列分割成两个子序列,然后采用类似的方法递归地进行划分,就可以得到一棵二叉树。
3.由二叉树的层序序列和中序序列也可以唯一地确定一棵二叉树。
二、试题实战
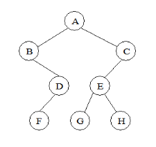
1. 设一棵二叉树的先序序列:ABDFCEGH,中序序列:BFDAGEHC,要求:画出这棵二叉树。
【答案解析】
1.根据先序遍历序列确定二叉树的根以及子树的根,根据中序遍历序列确定左右子树上的结点,二叉树如下:


免责声明:本站所提供的内容均来源于网友提供或网络搜集,由本站编辑整理,仅供个人研究、交流学习使用,不涉及商业盈利目的。如涉及版权问题,请联系本站管理员予以更改或删除。
四川中公考研微信
四川中公考研微博