地址:新都镇兴乐北路1288号派都广场A座4楼17号
电话:028-82005799/19938477370
地址:宜宾市翠屏区东街与民主路路口名城商城4楼
电话:028-82005799
地址:雅安市雨城区大地影院2楼
电话:028-82005799/18141378923
地址:乐山市中区老公园总工会5楼(老年大学旁)
电话:028-82005799/18188343237
地址:绵阳市涪城区西南科技大学新区青阳中街14号
电话:028-82005799/17740904611/18111651643
地址:南充市师大路一段210号华府丽都
电话:028-82005799/17719811995
发布日期:2021-03-26 20:36:07 来源:四川中公考研
问:什么是调剂?答:要调剂的人就是你没有上第一志愿的线但是上了国家线都可以调剂,当然有ABC区的分数限制。怎样复试看你选择调剂的学校了,招生专业目录上有参考。复试的话自己去找没有招满的学校,让它们同意你参加复试

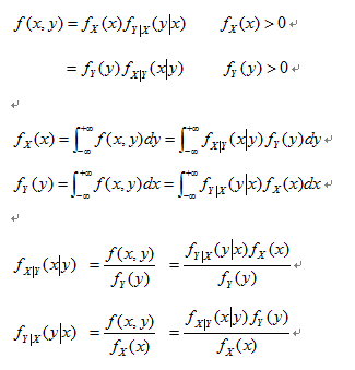
二维随机变量的条件分布部分公式

四川考研网相关推荐:

免责声明:本站所提供的内容均来源于网友提供或网络搜集,由本站编辑整理,仅供个人研究、交流学习使用,不涉及商业盈利目的。如涉及版权问题,请联系本站管理员予以更改或删除。
四川中公考研微信
四川中公考研微博