地址:新都镇兴乐北路1288号派都广场A座4楼17号
电话:028-82005799/19938477370
地址:宜宾市翠屏区东街与民主路路口名城商城4楼
电话:028-82005799
地址:雅安市雨城区大地影院2楼
电话:028-82005799/18141378923
地址:乐山市中区老公园总工会5楼(老年大学旁)
电话:028-82005799/18188343237
地址:绵阳市涪城区西南科技大学新区青阳中街14号
电话:028-82005799/17740904611/18111651643
地址:南充市师大路一段210号华府丽都
电话:028-82005799/17719811995
发布日期:2020-12-29 17:49:35 来源:四川考研网
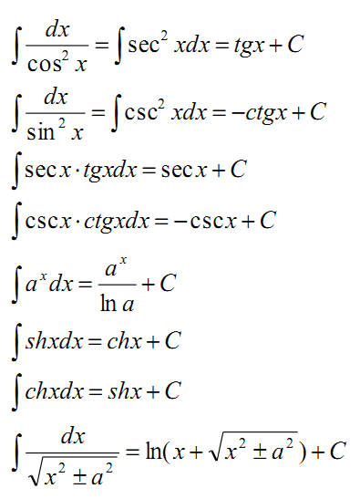
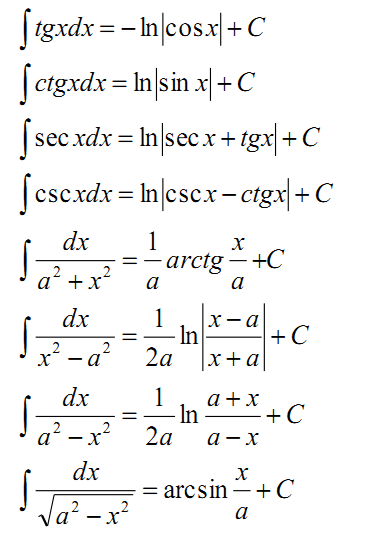
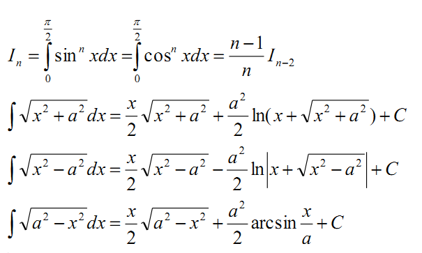
什么是考研数学?数学在考研中内容多、难度大,国家统一命题。主要考察考生的比较系统地理解数学的基本概念和基本理论,掌握数学的基本方法,具备由象思维能力、逻辑推理能力、空间想象能力、运算能力和综合运用所学的知识分析问题和解决问题的能力。
研究生招生考试数学试卷分为3种:数学一、数学二、数学三。其中针对学门类的为数学一、数学二;济学和管理学门类的为数学三。




以上是四川考研为考生整理的"2022考研高等数学基础备考:各类型积分公式"的相关内容,希望对大家有帮助,更多考研数学复习信息尽在四川考研数学频道!
四川考研网相关推荐:

免责声明:本站所提供的内容均来源于网友提供或网络搜集,由本站编辑整理,仅供个人研究、交流学习使用,不涉及商业盈利目的。如涉及版权问题,请联系本站管理员予以更改或删除。
四川中公考研微信
四川中公考研微博