地址:新都镇兴乐北路1288号派都广场A座4楼17号
电话:028-82005799/19938477370
地址:宜宾市翠屏区东街与民主路路口名城商城4楼
电话:028-82005799
地址:雅安市雨城区大地影院2楼
电话:028-82005799/18141378923
地址:乐山市中区老公园总工会5楼(老年大学旁)
电话:028-82005799/18188343237
地址:绵阳市涪城区西南科技大学新区青阳中街14号
电话:028-82005799/17740904611/18111651643
地址:南充市师大路一段210号华府丽都
电话:028-82005799/17719811995
发布日期:2020-08-09 13:59:33 来源:四川中公考研



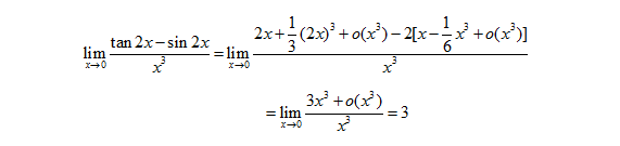
所以在求解极限问题的思路中利用泰勒公式比等价无穷小替换法则更一般、更普遍,在解决问题时往往倾向于接受和使用那些适用范围更广的思路和方法,关于等价无穷小替换和泰勒公式的使用,同学们要后期多加练习。
四川考研网相关推荐:
西南交通大学2021年硕士研究生招生新增专业、考试科目、参考书目拟调整方案

免责声明:本站所提供的内容均来源于网友提供或网络搜集,由本站编辑整理,仅供个人研究、交流学习使用,不涉及商业盈利目的。如涉及版权问题,请联系本站管理员予以更改或删除。
四川中公考研微信
四川中公考研微博