地址:新都镇兴乐北路1288号派都广场A座4楼17号
电话:028-82005799/19938477370
地址:宜宾市翠屏区东街与民主路路口名城商城4楼
电话:028-82005799
地址:雅安市雨城区大地影院2楼
电话:028-82005799/18141378923
地址:乐山市中区老公园总工会5楼(老年大学旁)
电话:028-82005799/18188343237
地址:绵阳市涪城区西南科技大学新区青阳中街14号
电话:028-82005799/17740904611/18111651643
地址:南充市师大路一段210号华府丽都
电话:028-82005799/17719811995
发布日期:2019-04-11 14:22:09 来源:
| 2019考研复试指导群691680584 2020考研择校择职业指导群 |
| 点击关注“四川中公考研”新浪微博,与博主互动获取考研上名校技巧 |
| 点击关注“四川中公考研”微信公众号,第一时间获取新考研资讯 |
| 职业课协议班、周末面授班、拯救19考研复试、19考研初试答案解析 |
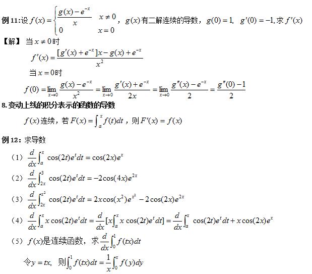
求导方法
1.求导公式及其应用(略)
2.复合函数求导法(略)
3.隐函数的导数求法





免责声明:本站所提供的内容均来源于网友提供或网络搜集,由本站编辑整理,仅供个人研究、交流学习使用,不涉及商业盈利目的。如涉及版权问题,请联系本站管理员予以更改或删除。
四川中公考研微信
四川中公考研微博